伝達関数 模擬問題 その2

ここまでの内容で臨床工学技士の出題基準『伝達関数』に関する内容を解説しました.少し問題を用意したので解いてみましょう.わからなくなったら解答後に過去の資料を見て思い出してください.

模擬問題


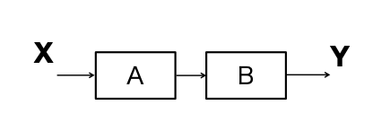
AB



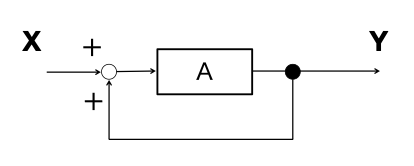
A+B












タイトルとURLをコピーしました